" /> The Energy Stored In Capacitors - TN Elektro
Home > English > The Energy Stored In Capacitors

The Energy Stored In Capacitors

All cargo configuration having an electric potential energy U specifics. This energy is equal to the work W to be done to collect the charges of each component, which initially was considered a not to each other and at rest. Let’s review the process of charging and discharging the capacitor. Work must be done to separate the two charges equal and opposite sign.

This energy is stored in the system and can be recovered if the charges have another chance to gather together. In a similar way, the capacitor is charged has been storing potential energy equal to the work required to load capacitor tersbut. This energy can be reused if the capacitor is given the opportunity to empty its contents.

Usually the load of work to be done by a battery or accumulator, by utilizing chemical energy in the battery. Suppose that at time t a charge q ‘(t) has been transferred from a plate to the other plate. Potential difference becomes U (t) = q ‘(t) / C. If an additional extra charge dq ‘is moved, then a small amount of additional work required are:
dW = Udq = (q ‘/ C) dq’.

If this process continues until the total charge q moved the total work is:
image

From the equation q = CU, obtained:
W = U = ½ CU2
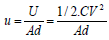
In a parallel plate capacitor, regardless of the periphery, the electric field between the plate-platnya are uniform, which has the same value at all points. Then the energy density, which should also be uniform, can be written:
image

Ad is the volume between the plates. From the relationship C = εoA / d and E = U / d, then the above equation can be written as: u = ½ εoE2
The above equation applies generally, that is, if an electric field E are present at any point in a vacuum, then these points can be thought of as the repository of energy magnitude is unity volume: ½ εoE2

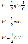
The energy stored in the capacitor (W) is expressed by the equation:
image

Description:
W = energy stored in the capacitor, in joules
q = charge on the capacitor, in coulombs
C = capacity of the capacitor, in farads
U = potential difference in volts

Figure 3.21 shows a series of simple experiments to prove the phenomenon of the energy stored in the capacitor.
image
Figure 3.21 The phenomenon of the Energy Stored in a Capacitor