" /> Jembatan Wheatstone - TN Elektro

Jembatan Wheatstone

Pengembangan rangkaian resistor seri dan paralelmenghasilkan prinsip Jembatan Wheatstone. Sumber tegangan DC mencatu rangkaian empatbuah resistor. R1 seri dengan R2, dan R3 seri dengan R4.Hukum Kirchoff tegangan menyatakan jumlah drop tegangan sama dengan tegangan sumber.
image
Gambar 8.10 Jembatan Wheatstone

Titik A-B dipasang Voltmeter mengukur beda tegangan, jika meter menunjukkan nol,artinya tegangan U1 = U3 disebut kondisi seimbang. Jika U1 ≠ U3 disebut kondisi tidak seimbang dan meter menunjukkan angka tertentu. Aplikasi praktis dipakai model Gambar 5.63, di mana R1 = Rx merupakan tahanan yang dicari besarannya. R2 = Rn adalah tahanan yang bisa diatur besarannya. R3 dan R4 dari tahanan geser. Dengan mengatur posisi tahanan geser B, sampai Voltmeter posisi nol. Kondisi ini disebut setimbang, maka berlaku rumus kesetimbangan jembatan Wheatstone.
image
Gambar 8.11 Jembatan Wheatsone

Contoh:
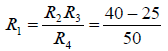
Jembatan Wheatstone, diketahui besarnya nilai R2 = 40 Ω, R3 = 25 Ω, R4 = 50 Ω. Hitung besarnya R1 dalam kondisi setimbang!
Jawab:
Jika UAB = 0 V, maka
image