" /> Electrostatic Discharge In Capacitors - TN Elektro
Home > English > Electrostatic Discharge In Capacitors

Electrostatic Discharge In Capacitors

Transient current occurs because the capacitor takes time to meet him with the charge and the reverse also occurs in the process of emptying himself of the charge. There are two processes that occur in the capacitor in the RC circuit, the charging and discharging cargo. Suppose the capacitor initially using a battery, fully charged by the charge then the battery is removed, in order to obtain the circuit below:
image
Pictures 3:43 Series of Cargo Discharging Capacitors

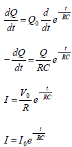
At the beginning we consider capacitors fully charged then when we connect the switch there will be current at the beginning of the series:
image
where Vo is the voltage (potential difference) early in the capacitor bisadituliskan as Q / C, so:
image

image
3:42 Picture curve Flow Discharging Capacitors

Capacitor discharge curve images above show the discharge in the capacitor decreases exponentially at any time (ie down menurutkurva exponential function) to end at t infinity (very long) no longer charge the capacitor. From equation charge
image

we scaled back over time, then we will get back transient current behavior as follows:
image